Skip to main content

Dados para busca de Questões

Atenção: Não é obrigatório preencher todos os campos para executar a Pesquisa.



Total de Questões Encontradas: 6.422 de 252.126
Exibindo: Página 61 de 1.285

Questão: 301 / QT-179301
Ano: 2019
Banca: INEP
Órgão: ENEM
Cargo: Vestibular - 2° Dia - PPL
Disciplina: Química
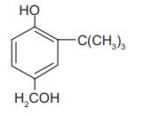
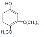
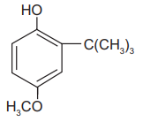
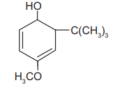
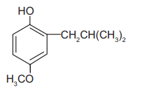
O 2-BHA é um fenol usado como antioxidante para retardar a rancificação em alimentos e cosméticos que contêm ácidos graxos insaturados. Esse composto caracteriza-se por apresentar uma cadeia carbônica aromática mononuclear, apresentando o grupo substituinte terc-butil na posição orto e o grupo metóxi na posição para.
A fórmula estrutural do fenol descrito é

-

Imagem associada para resolução da questão

-

Imagem associada para resolução da questão

-

Imagem associada para resolução da questão

-

Imagem associada para resolução da questão

-

Imagem associada para resolução da questão



Questão: 302 / QT-179302
Ano: 2019
Banca: INEP
Órgão: ENEM
Cargo: Vestibular - 2° Dia - PPL
Disciplina: Biologia

A ação de uma nova droga antitumoral sobre o citoesqueleto foi investigada. O pesquisador comparou o efeito da droga na velocidade de deslocamento celular e na integridade de filamentos do córtex celular e de flagelos, conforme apresentado na figura.



Imagem associada para resolução da 
questão

O pesquisador concluiu que a droga age sobre os

-

microtúbulos apenas.

-

filamentos de actina apenas.

-

filamentos intermediários apenas.

-

filamentos de actina e microtúbulos.

-

filamentos de actina e filamentos intermediários.


Questão: 303 / QT-179303
Ano: 2019
Banca: INEP
Órgão: ENEM
Cargo: Vestibular - 2° Dia - PPL
Disciplina: Física
 Uma das formas de se obter energia elétrica é usar uma lente convergente circular para concentrar os raios de sol em um único ponto, aquecendo um dispositivo localizado nesse ponto a uma temperatura elevada. Com a transformação da energia luminosa em energia térmica, pode ser criado vapor-d’água que moverá uma turbina e gerará energia elétrica. Para projetar um sistema de geração de energia elétrica, a fim de alimentar um chuveiro elétrico de 2 000 W de potência, sabe-se que, neste local, a energia recebida do Sol é 1 000 W/m2 . Esse sistema apresenta taxa de eficiência de conversão em energia elétrica de 50% da energia solar incidente. Considere vp  = 1,8.

Qual deve ser, em metro, o raio da lente para que esse sistema satisfaça aos requisitos do projeto?

-

0,28

-

0,32

-

0,40

-

0,80

-

1,11


Questão: 304 / QT-179304
Ano: 2019
Banca: INEP
Órgão: ENEM
Cargo: Vestibular - 2° Dia - PPL
Disciplina: Química
Na busca por ouro, os garimpeiros se confundem facilmente entre o ouro verdadeiro e o chamado ouro de tolo, que tem em sua composição 90% de um minério chamado pirita (FeS2). Apesar do engano, a pirita não é descartada, pois é utilizada na produção do ácido sulfúrico, que ocorre com rendimento global de 90%, conforme as equações químicas apresentadas. Considere as massas molares: FeS (120 g/mol) , O2 32 g/mol), Fe2O3  ( 160 g/mol) ,  SO2 ( 64 g/mol), SO3 ( 80 g/mol) , H2O ( 18 g/mol ) , H2SO4 ( 98 g/mol ).
Imagem 
associada para resolução da questão


Qual é o valor mais próximo da massa de ácido sulfúrico, em quilograma, que será produzida a partir de 2,0 kg de ouro de tolo?

-

0,33

-

0,41

-

2,6

-

2,9

-

3,3


Questão: 305 / QT-179305
Ano: 2019
Banca: INEP
Órgão: ENEM
Cargo: Vestibular - 2° Dia - PPL
Disciplina: Química
O etanol é um combustível renovável obtido da cana-de-açúcar e é menos poluente do que os combustíveis fósseis, como a gasolina e o diesel. O etanol tem densidade 0,8 g/cm3 , massa molar 46 g mol e calor de combustão aproximado de -1 300 kJ/mol . Com o grande aumento da frota de veículos, tem sido incentivada a produção de carros bicombustíveis econômicos, que são capazes de render até 20 km/L em rodovias, para diminuir a emissão de poluentes atmosféricos.
O valor correspondente à energia consumida para que o motorista de um carro econômico, movido a álcool, percorra 400 km na condição de máximo rendimento é mais próximo de

-

565 MJ.

-

452 MJ.

-

520 kJ.

-

390 kJ.

-

348 kJ.



pub21trf
Ebook - Orações & Frases Motivacionais para Estudantes e Concurseiros

Ao adquirir nosso ebook você estará ajudando a manter os serviços do site VagasApp totalmente gratuito.
Garantindo que todos continuem tendo acesso a informações completas e atualizadas sobre concursos públicos.
Sua contribuição é essencial para o desenvolvimento de novas funcionalidades e rankings de classificação e convocação cada vez mais precisos.

Nossa gratidão por sua colaboração.

Clique Aqui para Adquirir nosso ebook por apenas R$ 14,99

Skip to main content